Техосмотр автобусов проводится на отдельной специализированной
диагностической линии
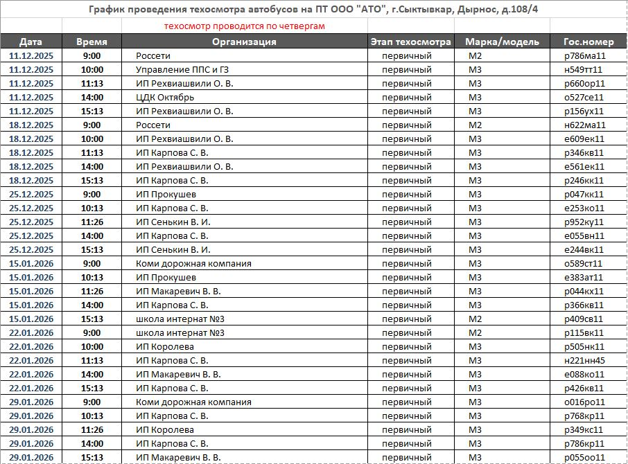
Графики проведения техосмотра автобусов, 2026
ВНИМАНИЕ! ТЕХОСМОТР АВТОБУСОВ ОСУЩЕСТВЛЯЕТСЯ ПО ЗАЯВКЕ И ПРЕДВАРИТЕЛЬНОЙ ЗАПИСИ. ГРАФИК ОСМОТРА СОГЛАСОВЫВАЕТСЯ С ГИБДД.
Адрес для отправки заявок:
JLIB_HTML_CLOAKING (Сыктывкар)
JLIB_HTML_CLOAKING (Ухта)
Телефоны для записи и справок:
- В Сыктывкаре: 8(8212)550-830; 8(908)718-81-30
- В Ухте: 8(8216)78-50-78; 8(991)480-10-37
- В районах
Графики проведения техосмотра автобусов, 2026
JLIB_HTML_CLOAKING (Сыктывкар)
JLIB_HTML_CLOAKING (Ухта)





